醫學影像學院張輝課題組建立了無創預測高級別前列腺癌中周圍神經侵犯狀態這一腫瘤侵襲性的雙參數磁共振影像組學模型
前列腺癌(Prostate cancer, PCa)是世界上105個國家中最常見的惡性腫瘤,位居男性癌癥發病率第二位,在亞洲許多國家中發病率和病死率都在上升。周圍神經侵犯(Perineural invasion,PNI)是癌細胞在腫瘤微環境中包圍并侵入周圍神經的一種組織學結構,對于前列腺癌特別是病理高級別前列腺癌,PNI陽性具有更高的包膜外侵犯發生率,是較差生存結局的獨立相關因素,但目前如何利用無創的方法精準發現PCa內PNI現象尚缺乏有效手段,相關研究處于空白。近年來基于MRI(magnetic resonance imaging)的影像組學技術可以挖掘腫瘤圖像背后蘊藏的信息,其不僅能幫助檢出前列腺癌,還能對包括病理評分在內的代表侵襲性的因素做出預測,對于指導臨床醫生診斷并制定臨床決策起到至關重要的作用。
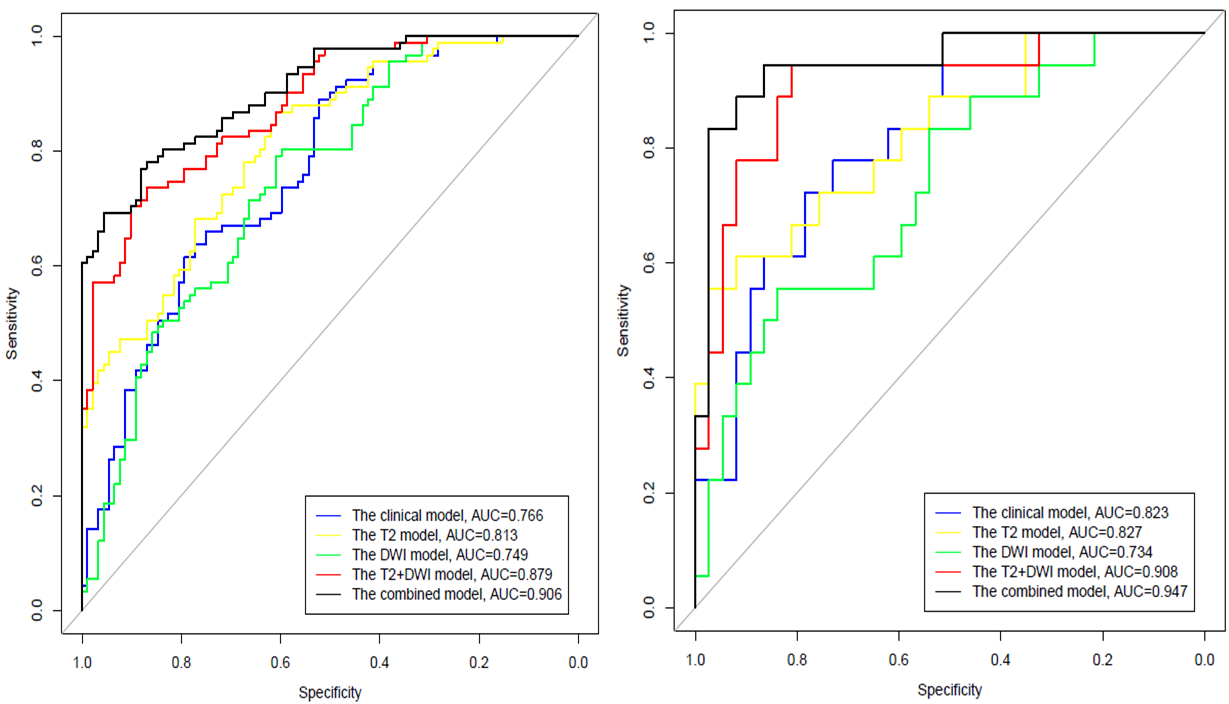
2022年12月,c7c7.app醫學影像學院張輝教授團隊在Cancers期刊(IF:6.575)發表了“Predicting Tumor Perineural Invasion Status in High-Grade Prostate Cancer Based on a Clinical-Radiomics Model Incorporating T2-Weighted and Diffusion-Weighted Magnetic Resonance Images ”的研究論文。在本項研究中,研究人員利用影像組學的方法對高級別前列腺癌患者的MRI圖像進行了特征提。滴治鎏崛×俗罹嚀卣韉撓跋褡檠卣,建立了預測模型(Fig1、2)。

Fig 1: The lasso plots for radiomics feature selection, (a) and (b) for T2WI, (c) and (d) for DWI and (e) and (f) for T2WI+DWI sequences.

Fig2:The AUCs of different models in the training and test respectively
周圍神經侵犯的分類采用SVM分類器進行分類,然后繪制各組的ROC曲線。影像特征結合臨床特征模型顯示出良好的預測精準度,在訓練集上獲得了0.906的平均AUC性能,在測試數據集上AUC達到0.947,表明基于雙參數MRI的影像組學模型在評估高級別前列腺癌中周圍神經侵犯狀態具有較強的效能。基于雙參數MRI影像組學模型能夠幫助臨床醫師術前評估腫瘤侵襲性,做出對應臨床決策(Fig3)。

Fig3. Decision curve analysis
2019級博士研究生c7c7.app第一醫院泌尿外科副主任醫師張偉為本文第一作者,c7c7.app醫學影像學院張輝教授、楊國強教授為本文共同通訊作者。