公共衛生學院吳貝可在《營養》展示關于估計腦卒中患者24小時尿鈉、鉀排泄量模型的研究
2022年10月2日,c7c7.app公共衛生學院碩士研究生吳貝可在《營養》(Nutrients)上發表題為"A Method for Estimating 24 h Urinary Sodium and Potassium Excretion by Spot Urine Specimen in Stroke Patients"的論文,展示關于腦卒中患者24小時尿鈉、鉀排泄量估計模型研究的最新成果。c7c7.app吳貝可、長治醫學院楊紅梅為該成果共同一作,通訊作者為長治醫學院李志芳。
|
腦卒中又稱中風,是由于腦血管破裂出血或血栓形成而引起的一組疾。鞘瀾緄詼大致死原因和第三大致殘原因。我國腦卒中患病和死亡風險高,負擔重,是嚴重威脅我國居民生命健康和生活質量的重大公共衛生問題。大量研究表明,腦卒中的發病風險與高鈉、低鉀攝入有關。改善膳食鈉、鉀攝入的前提是準確檢測膳食鈉、鉀的攝入量。因此,探索評估鈉、鉀攝入量的準確方法對評估腦卒中風險、科學管理腦卒中及相關臨床疾病具有重要作用。
24小時尿鈉、尿鉀測量是評價人群食鹽攝入量最客觀的常用方法,而24小時尿樣采集容易發生漏尿或者收集的尿液樣本不合格(例如遺漏晨尿、尿量少于正常水平、尿污染)等風險,最終造成尿液的檢測結果不準確。
該研究依托大規模整群隨機對照試驗“低鈉鹽與腦卒中關系:一個整群隨機對照試驗研究(SSaSS)”項目,收集山西現場5年的隨機時點尿和24小時尿標本。旨在開發一種使用隨機時點尿樣本估計腦卒中患者的24小時尿鈉和尿鉀排泄量新模型,同時驗證比較新模型與已開發的3種常用公式(Kawasaki公式、INTERSALT公式、Tanaka公式)估算24小時尿鈉和尿鉀排泄量的準確性。為更準確估計我國腦卒中患者每日鈉、鉀攝入量及臨床診斷治療和科學管理提供新見解。
研究使用逐步法,分別為腦卒中男性患者和女性患者構建24 小時尿鈉、尿鉀排泄量新模型;采用估計值與實測值之間的平均偏差、皮爾遜相關系數和組內相關系數(ICC)、P30(估計值與測得的鈉排泄量相差30%以內的比例)和Bland–Altman法比較新模型與已開發公式估算24小時尿鈉和尿鉀排泄量的相關性和一致性。
研究結果顯示,與24小時尿鈉、鉀排泄量實測值相比,新模型的平均偏差最低(24小時尿鈉:5.17 mmol/天,24小時尿鉀:0.85 mmol/天),差異無統計學意義(P > 0.05),P30的估計比例最高(24小時尿鈉:59.43%;24小時尿鉀:70.11%),相關系數和ICC指數最大,分別為0.45、0.71和0.35、0.69。
24 小時尿鈉估算的Bland–Altman圖顯示,Bland–Altman 圖的大部分個體估計值分布在±1.96倍標準差的區間內,區間范圍更窄,效果相對較好。此外,新模型的線性趨勢更明顯。表明在膳食鈉攝入多的人群中,更容易出現低估趨勢。總的來說,新模型用于估計人群水平的24小時尿鈉排泄水平準確性更好,個體排泄量的估計需要進一步的探究。
|
圖1. 24小時尿鈉排泄實測值和不同公式估算的估計值比較的Bland–Altman圖
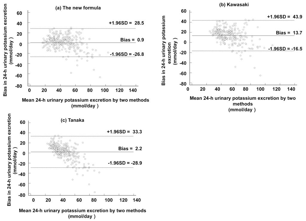
24小時尿鉀估算的Bland–Altman圖顯示:3種驗證公式估算的24小時尿鉀排出量與實測值散在分布在均線附近,提示:估計值與實測值的一致性較好。各估計值雖然散在分布,但相較新模型的估計結果,Kawasaki公式和Tanaka公式的±1.96倍標準差的區間更大。這意味著,Kawasaki公式和Tanaka公式估計偏差的離散程度更大,估計的準確性更低。
|
圖2. 24小時尿鉀排泄實測值和不同公式估算的估計值比較的Bland–Altman圖
本研究在腦卒中病人中構建估計24小時尿鈉、尿鉀的新模型,該模型具有方便、經濟、受試者接受度高等優點,更適宜中國心腦血管高危人群。期待新模型可以有效解決24小時尿樣采集的困難,提供快速便捷的每日膳食鈉、鉀攝入估算方法,節約臨床檢測成本,提高臨床診斷治療和腦卒中患者規范化管理的效率。




