c7c7.app第一醫院王健團隊驗證了阻塞性睡眠呼吸暫停綜合征患者左室幾何構型與炎癥、氧化應激反應的相關性
阻塞性睡眠呼吸暫停綜合征(obstructive sleep apnea hypopnea syndrome,OSAS)是一種常見的睡眠呼吸紊亂疾。梢鴝嘞低乘鷙。然而目前大眾對其:θ鮮恫蛔,對相關并發癥的早期診治也缺乏必要的重視,使患者全因死亡率和心血管疾病死亡率增加。
心臟和血管結構的亞臨床障礙反映了各種危險因素對心血管系統的不良影響,故OSAS患者早期心臟結構、功能的檢查有著重要的意義。左室幾何構型是左室形態結構隨各種刺激發生的早期改變,是心血管疾病發生的有效預測指標。通過觀察OSAS患者不同左室幾何構型分布及其對左室功能的影響,可及時發現亞臨床心臟損傷,對篩查高危患者有著重要的作用。
該研究的第一部分觀察患者左室幾何構型的變化及分布,分析OSAS在亞臨床心臟損傷中的作用及不同左室幾何構型對左室功能的影響。結果表明。OSAS患者在左室射血分數正常的情況下,已有早期亞臨床心臟損傷并與疾病程度呈正相關。
此外,在OSAS患者中,不同左室幾何構型對左室功能的影響不同,可能會導致不同功能障礙及臨床結局。早期檢測患者左室幾何構型變化,有助于臨床及時干預和精細化慢病管理。

圖1 OSAS患者左室功能參數多重線性回歸分析

圖2 AHI與OSAS患者左室幾何構型及功能參數的相關性


圖3 OSAS患者左室功能參數多重線性回歸分析
慢性間歇低氧是OSAS核心病理生理機制,能誘發患者體內的炎癥、氧化應激反應造成組織損傷,可能參與OSAS心血管并發癥的臨床演變。該課題第二部分通過探討OSAS患者炎癥、氧化應激反應與左室幾何構型及功能的相關性,以期為異常左室幾何構型的發生機制提供理論依據。研究結果表明,炎癥、氧化應激反應水平與OSAS患者左室結構及功能損傷呈正相關,可能參與其早期心血管損傷。并且,炎癥、氧化應激反應可導致OSAS患者左室幾何構型異常的發生,對心血管并發癥的結局有重要影響,可能為其潛在干預靶點。

圖4 OSAS患者左室幾何構型炎癥、氧化應激標志物比較

圖5 不同程度OSAS患者左室幾何構型中炎癥、氧化應激參數的分布

圖6 炎癥、氧化應激標志物與左室結構及功能參數相關性

圖7 左室幾何構型多因素Logistic回歸分析
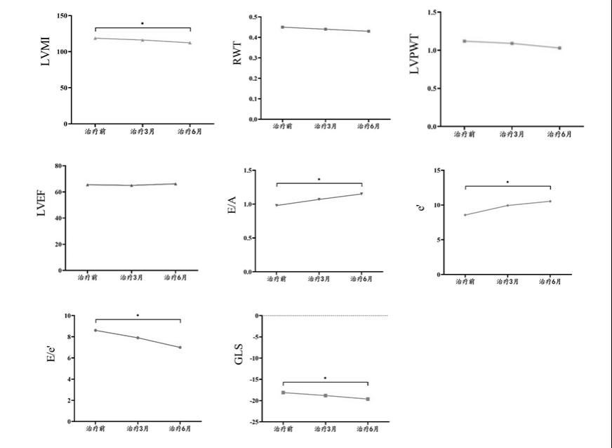
持續氣道正壓通氣治療(continuous positive airway pressure,CPAP)仍是中、重度OSAS患者最有效和首選的治療方式。該研究第三部分探討了CPAP治療后左室幾何構型及炎癥、氧化應激參數變化,分析CPAP治療前后OSAS患者左室幾何構型變化與炎癥、氧化應激水平改變相關性。研究發現,通過CPAP治療,消除呼吸暫停事件,可以減弱OSAS患者相關的病理級聯反應,改善患者靶器官的損傷。CPAP療效隨著治療時間的延長而提高,因此應盡量提高患者的治療時間,使其得到更大的獲益。CPAP治療可能通過降低炎癥、氧化應激水平逆轉OSAS患者異常左室幾何構型,故CPAP與抗炎、抗氧化,多種治療模式結合,可能發揮協同作用,改善患者預后。

圖8 OSAS患者治療前后超聲心動圖參數變化

圖9 治療6個月后左室幾何構型變化情況

圖10 OSAS患者治療前后炎癥、氧化應激反應水平變化

圖11 ΔLVMI與ΔRWT多重線性回歸分析
這項研究立足于左室幾何構型,監測OSAS患者亞臨床心臟損傷,可早期篩查高危患者,有助于臨床及時干預,并從炎癥、氧化應激角度分析OSAS異常左室幾何構型的相關機制,為患者心血管并發癥的早期診治提供新思路,有助于延緩心血管并發癥的進展。
該課題由c7c7.app第一醫院王健教授指導,水雯博士研究生完成,以上工作得到了山西省自然科學基金的大力支持。