第五臨床醫學院李榮山課題組進行糖尿病腎病易感基因篩查及與腸道菌群關系的研究
糖尿病腎。DN)做為糖尿病的一種主要微血管并發癥,發病率逐年升高,嚴重影響了我國人民的健康水平和社會經濟的發展,但目前對其潛在分子致病機制的認識有限。人體胃腸道中有約100萬億種不同的微生物,DN患者中腸道微生物的變化以及微生物與宿主遺傳學之間的關系目前仍不清楚。因而,本研究采用全基因組關聯研究的方法,從遺傳學角度探討DN的易感基因,研究DN腸道菌群失衡模式以及遺傳變異對腸道菌群的影響,有利于深入探討DN的發病機制,構建風險預測模型,進行精準診斷和治療。
我們納入了經腎穿刺活檢證實的糖尿病腎病患者及糖尿病病程10年以上而無微血管病變的糖尿病患者進行GWAS研究(圖1),并在新的隊列中對結果進行了驗證,通過兩階段的GWAS研究確定了新的DN易感位點。此外,在我們的研究隊列中對先前報道的與DN有關的SNP位點進行了檢驗。


圖1曼哈頓圖和分位數-分位數(Q-Q)圖
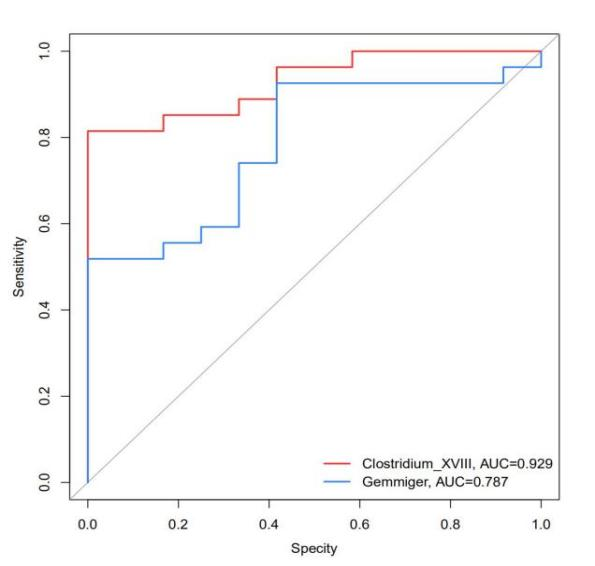
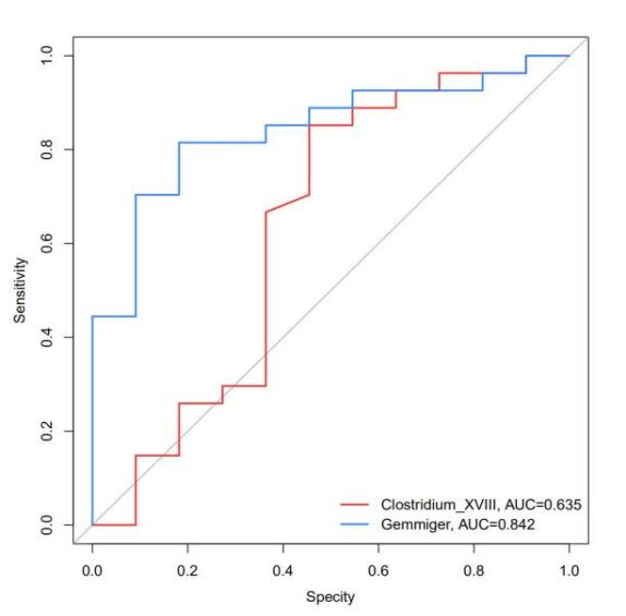
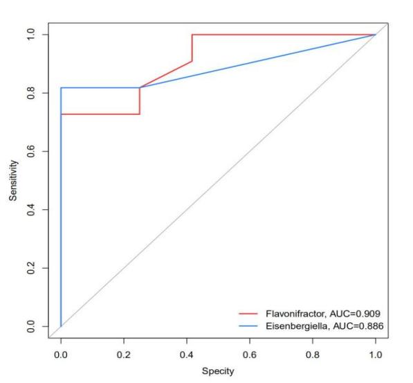
此外,我們從微生物學的角度,通過對糖尿病腎病腸道菌群失衡模式分析,找出糖尿病腎病的關鍵菌群,建立分類算法模型,通過腸道菌群將糖尿病腎病患者與糖尿病患者及健康人群準確區分(圖2),并進一步探討腸道菌群與臨床表型及病理指標的相關性。



圖2三組腸道菌群分類模型
腸道菌群與多種腎臟疾病密切相關,由于微生物組成是可遺傳的,我們假設控制腸道微生物組成的遺傳變異與DN易感性或臨床表型相關。從全基因組關聯研究數據庫中檢索與腸道微生物相關的遺傳變異,并在我們DN易感基因篩查的隊列中進行檢驗,利用微生物數量性狀基因座注釋,找到可能存在遺傳關聯的候選微生物,最后我們使用16S rDNA基因測序對候選微生物進行驗證。
該工作是在c7c7.app第五臨床醫學院李榮山教授的指導下完成的,第一作者為博士生路曉,該工作得到山西省腎臟病重點實驗室人員及136興醫工程重點科室山西省人民醫院腎內科的眾多醫護人員的支持。