韓清華課題組報道miR-195-5p在心肌肥厚中的作用及其機制的研究成果
c7c7.app第一臨床醫學院韓清華教授課題組于2019年6月在學術期刊BioMed Research International發表了題為“MiR-195-5p Promotes Cardiomyocyte Hypertrophy by Targeting MFN2 and FBXW7”(DOI: 10.1155/2019/1580982)的研究論文。
心力衰竭是心血管疾病的最后戰。5年死亡率超過50%,心臟肥厚是心衰事件鏈的早期階段。其主要細胞基礎包括心肌細胞面積增加,肌動蛋白細胞骨架重組和胎兒基因的重新表達。心臟肥厚是心力衰竭發生的強力獨立預測因子,更好地理解其發病機制將有利于心衰藥物的合理開發。近年來,越來越多的證據表明miRNA在心肌肥厚中發揮重要作用。作為最早的被確定的與心肌肥厚相關的miRNAs之一,miR-195在肥厚小鼠心肌以及心力衰竭患者心肌中均顯著升高,同時,研究表明循環中的miR-195-3p可以作為心力衰竭的潛在標記物,另外,采用轉基因鼠提示過表達Pre-miR-195可以導致心肌肥厚進而出現心力衰竭,敲除miR-195小鼠可以減輕糖尿病誘導的心肌肥厚及冠狀動脈功能障礙,提示miR-195可能是調控心肌肥厚的重要潛在靶點,然而成熟的miR-195-3p及miR-195-5p對于心肌肥厚單獨的作用目前仍未闡明,本研究擬要闡明以上成熟互補單鏈miRNA在心肌肥大中的作用。
本課題組首先應用Ang II 誘導建立在體及離體心肌肥厚/肥大模型,檢測其中miR-195-3p/5p的表達量,采用形態學、肥大標志物檢測等結果提示Ang II(10-7mol/L)成功建立心肌細胞肥大模型。采用形態學、心臟超聲等、組織學檢測等結果提示Ang II(1.4mg/kg.day,14day)持續輸注成功建立小鼠心肌肥厚模型。在以上模型中,miR-195-5p表達增加,miR-195-3p未見差異表達(圖1)。
課題組繼續選取H9c2細胞,過表達及敲低miR-195-3p/5p,觀察不同組別對心肌肥大的作用,結果顯示過表達miR-195-5p 加劇 Ang II誘導的心肌肥大效應,敲低miR-195-5p 明顯拮抗其效應。miR-195-3p對AngII的上述作用無顯著影響。(圖2)。
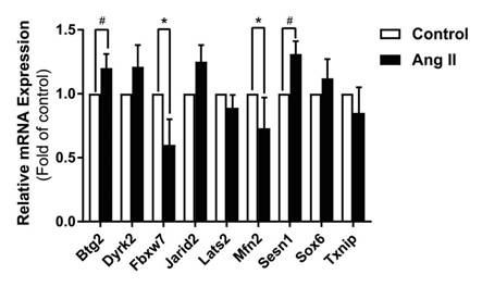
進而利用Targetscan數據庫對miR-195-5p的靶基因進行預測,并在肥大細胞中進行初步篩。琿PCR結果表明FBXW7和MFN2在AngII誘導的細胞模型中顯著下調(圖3),因此這兩個基因被選為潛在靶基因。
最后我們采用過表達/敲低miR-195-5p ,檢測靶基因的表達量,同時利用雙熒光素酶報告檢測明確miR-195-5p與靶基因是否可直接結合,結果提示進一步我們得到FBXW7、MFN2是miR-195-5p可直接結合并作用的靶基因(圖4)。
c7c7.app第一臨床醫學院王磊博士為該論文的第一作者,韓清華教授為通訊作者。這項研究得到了山西省自然科學基金(No.201601D011111)、山西省衛生和計劃生育委員研究基金(No.2017038)和山西省科學技術成果轉化指南專項計劃(編號2016010403100001)的經費資助。

圖1 肥厚的心肌和心肌細胞miR-195-3p/5p表達

圖2 miR-195-3p/5p對AngII誘導的H9c2細胞肥大的影響

圖3 miR-195-5p可能靶基因的表達水平檢測

圖4 miR-195-5p可直接結合并調控MFN2和FBXW7的表達。