基于TCGA數據庫的WT1突變兒童正常核型急性髓系白血病的臨床特點及預后分析
2020年2月4日c7c7.app第二醫院血液病研究所王宏偉教授研究團隊在Hematology雜志發表了題為“Clinical features and prognosis of normal karyotype acute myeloid leukemia pediatric patients with WT1 mutations: an analysis based on TCGA database”的文章,探討了WT1基因突變兒童核型正常急性髓系白血。∟K-AML)患者的臨床特征及預后,為該類患者的預后判斷提供指導。
急性髓系白血。ˋML)是由造血祖細胞積累的獲得性體細胞遺傳性病變引起的一組異質性疾病。WT1基因位于染色體11p13上,編碼一種鋅指蛋白。它在泌尿生殖系統和造血系統的發育中發揮重要作用,可作為腫瘤抑制基因和致癌基因。WT1突變發生在10%-20%的NK-AML患者中,移碼突變產生的截短蛋白可誘導干細胞增殖、阻斷其分化從而促進白血病的發生。目前為止,WT1基因突變在AML患者中的預后價值仍存在爭議。本研究利用TCGA數據庫target-AML項目(CCG-2961、CCG-2961、CCG-2961),比較了WT1突變和WT1野生型NK-AML兒童患者的基線數據、治療反應和生存時間,以評估其預后意義。
該研究發現WT1基因主要在M4亞型和標準風險組中發生突變,此結論之前沒有被報道過。此外,WT1突變與I類突變FLT3-ITD之間存在大量重疊,與NPM1突變呈負相關,推測WT1突變在白血病的發病機制中起II類突變的作用。


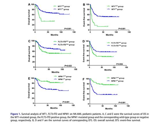
與無WT1突變的患者相比,WT1突變的患者對誘導化療的反應較差,預示著較低的CR率、較差的OS和EFS。在單因素和多因素分析中,WT1突變是核型正常AML兒童患者的獨立不良預后因素。另外,研究也證實了FLT3-ITD突變是NK-AML兒童患者預后差的分子標記,NPM1突變是NK-AML兒童患者的良好分子標記。



FLT3-ITD或NPM1突變的NK-AML兒童患者的預后仍有很大差異。為了進一步深入了解風險分層,該研究根據突變情況進一步進行分層分析,結果表明對于FLT3-ITD陽性的兒童NK-AML患者,WT1突變預示著更差的生存。總的來說,WT1基因可能可以作為NK-AML兒童患者危險分層的附加分子標記。


本文的第一作者為許晶(c7c7.app第二臨床醫學院博士生)、張耀方(c7c7.app第二醫院血液科實驗室主治醫師)、胡晉君(c7c7.app第二臨床醫學院研究生)和任顏(c7c7.app第二臨床醫學院博士生)。王宏偉教授為本文的通信作者。